Τετάρτη 9 Απριλίου 2025

Το λάθος στην εξίσωση Τραμπ που οδήγησε σε 4 φορές υψηλότερους δασμούς

Το λάθος στην εξίσωση Τραμπ που οδήγησε σε 4 φορές υψηλότερους δασμούς Ο μαθηματικός τύπος που χρησιμοποίησε η κυβέρνηση Τραμπ για τον υπολογισμό των ανταποδοτικών δασμών περιέχει σοβαρό μαθηματικό σφάλμα, το οποίο υπερβάλλει σημαντικά τον πραγματικό αντίκτυπο, κατά περίπου τέσσερις φορές, σύμωνα με οικονομολόγους του American Enterprise Institute.

Όπως μεταδίδει το Axios.com, το συγκεκριμένο think tank, σύμφωνα με το Αμερικανικό Ινστιτούτο, αντί να υπολογίζει σωστά τους δασμούς, κατέληξε να τους επιβάλει πολύ υψηλότερους απ’ ό,τι χρειαζόταν για την επίτευξη των στόχων της αμερικανικής πολιτικής. Μετά την ανακοίνωση των δασμών την περασμένη Τετάρτη, η κυβέρνηση δημοσίευσε έναν περίπλοκο τύπο που, σύμφωνα με τις δηλώσεις της, ανέπτυξε με τη συνεργασία του Συμβουλίου Οικονομικών Συμβούλων.




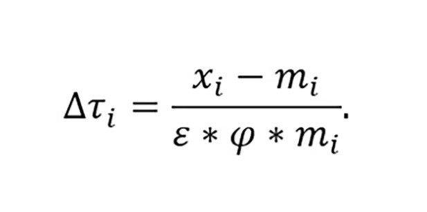
Στην ουσία, ο τύπος δεν είναι τίποτε περισσότερο από το εμπορικό έλλειμμα των ΗΠΑ με κάθε χώρα, διαιρούμενο με την αξία των αγαθών που εισάγονται από αυτή τη χώρα. Δύο ακόμη μεταβλητές της εξίσωσης αλληλοαναιρούνται και καθίστανται πρακτικά ανούσιες.

Ο τύπος που χρησιμοποιήθηκε υπολόγιζε «την ελαστικότητα των τιμών εισαγωγών ως προς τους δασμούς» δηλαδή την επίδραση των δασμών στην τιμή των εισαγόμενων προϊόντων. Ωστόσο, η κυβέρνηση Τραμπ χρησιμοποίησε μια τιμή ελαστικότητας 0,25, η οποία σύμφωνα με την οικονομική θεωρία σημαίνει ότι η επίδραση του δασμού στην τιμή εισαγωγής είναι περιορισμένη. Οι οικονομολόγοι όμως, υποστηρίζουν ότι χρησιμοποιήθηκε λάθος τιμή. Η σωστή τιμή θα ήταν 0,945, η οποία δείχνει ότι σχεδόν όλος ο δασμός επηρεάζει άμεσα την τιμή εισαγωγής.

Αντιφάσεις και αμφισβήτηση

Οι οικονομολόγοι Corinth και Veuger, τονίζουν ότι είναι αντιφατικό να συνδυάζονται δύο διαφορετικοί τύποι ελαστικότητας στην εξίσωση, όπως έγινε από την κυβέρνηση Τραμπ. Όπως εξηγούν, οι τύποι αυτοί δεν αλληλοσυμπληρώνονται και πρέπει να χρησιμοποιούνται ξεχωριστά. Αν η κυβέρνηση Τραμπ είχε χρησιμοποιήσει τη σωστή τιμή για την ελαστικότητα, ο δασμός που θα επιβαλλόταν σε χώρες όπως το Βιετνάμ θα ήταν 12,2% και όχι 46%, όπως τελικά εφαρμόστηκε.

Η Υπηρεσία Εμπορικού Αντιπροσώπου των ΗΠΑ (USTR) υποστήριξε τους υπολογισμούς της με έρευνες του καθηγητή Alberto Cavallo από το Harvard Business School. Ωστόσο, ο ίδιος ο Cavallo δήλωσε ότι δεν είναι σαφές αν τα ευρήματα του χρησιμοποιήθηκαν σωστά. Παρά ταύτα, η USTR συνεχίζει να στηρίζει την προσέγγισή της.

Συνεπώς, οι Corinth και Veuger καταλήγουν ότι ο τύπος που χρησιμοποιήθηκε από την κυβέρνηση Τραμπ δεν έχει βάση στην οικονομική θεωρία ή το εμπορικό δίκαιο. Ωστόσο, αν θεωρείται σοβαρό θεμέλιο για την εμπορική πολιτική των ΗΠΑ, τότε οι υπεύθυνοι αξιωματούχοι θα πρέπει να διασφαλίσουν τη σωστή εφαρμογή των υπολογισμών.

Δεν υπάρχουν σχόλια:

Δημοσίευση σχολίου

Αρχειοθήκη ιστολογίου